Банк данных "Нормативно-правовые акты Свердловской области"
Постановление Правительства Свердловской области от 30.10.2025 N 589-ПП "О внесении изменений в государственную программу Свердловской области "Формирование современной городской среды на территории Свердловской области", утвержденную Постановлением Правительства Свердловской области от 31.10.2017 N 805-ПП"
Показывать страниц:
Для качественной печати: PDF-файл документа (255 Кб)
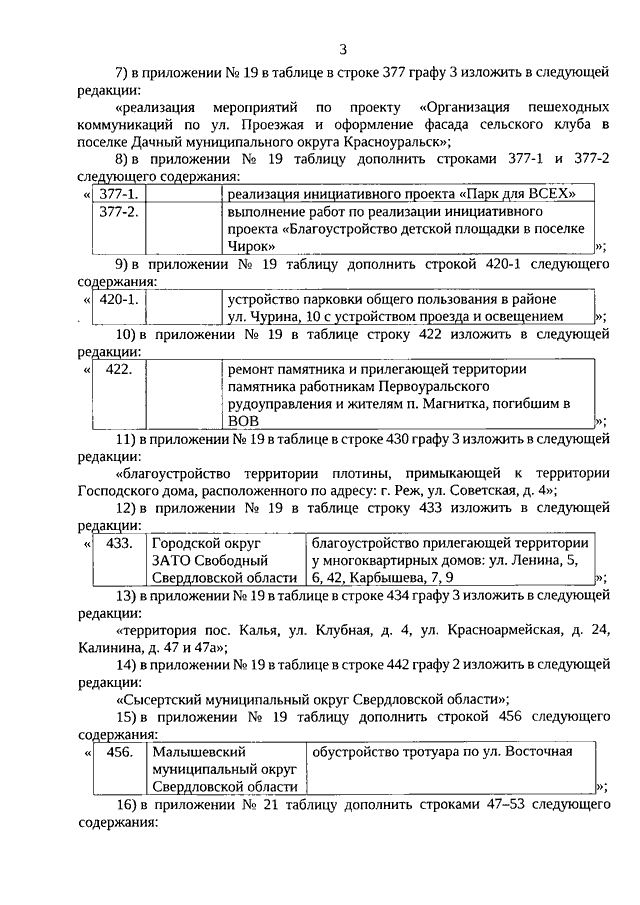
Страница 3 из 5